Peste 3.000 sibieni au primit ajutoare sociale în fiecare lună din anul 2018, iar mai mult de 2.700 de persoane au beneficiat de venitul minim garantat în lunile din prima jumătate a anului 2019. Lideri la acest capitol sunt județele conduse de reprezentanți ai PSD.
Ajutoarele sociale sub forma venitului minim garantat, alocației pentru susținerea familiei și ajutorului de încălzire se acordă persoanelor singure sau familiilor care au venituri mici.
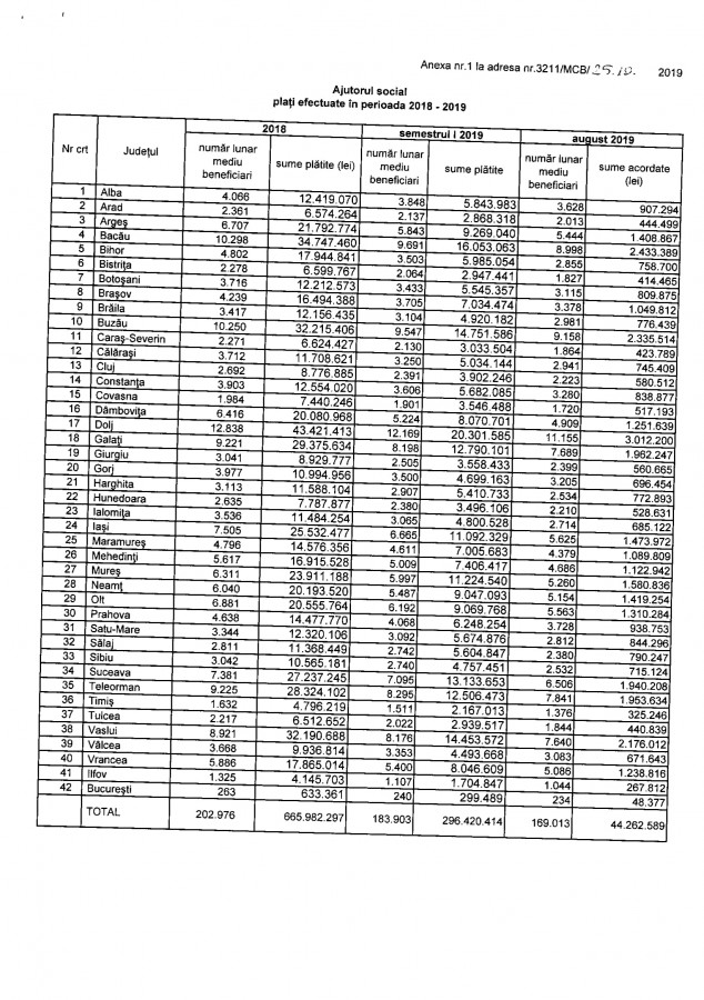
În anul 2018 statul a acordat ajutoare sociale pentru un număr mediu lunar de 3.042 sibieni, iar suma totală plătită pentru acestea a depășit 10,5 milioane de lei. Județul Sibiu are, din acest punct de vedere, al doilea rezultat bun în Regiunea Centru, după județul Covasna, unde 1.984 de persoane au beneficiat lunar de ajutoare sociale în sumă de 7,4 milioane lei. Sibiu se află aproape la egalitate cu județul Harghita - 3.113 beneficiari lunar cu suma totală depășind 11,5 milioane lei. Anul trecut cei mai mulți beneficiari de ajutor social din Regiunea Centru au fost în județul Mureș - 6.311 persoane lunar. Suma achitată acestora de către stat s-a ridicat la 23,9 milioane lei. În județul Alba 4.066 persoane au primit ajutoare sociale în fiecare lună în sumă de 12,4 milioane lei, iar în Brașov- 4.239 persoane, suma fiind de aproape 16,5 milioane lei.
În prima jumătate a acestui an, numărul acestora a fost mai puțin în Sibiu - 2.740 beneficiari de ajutoare sociale lunar, în sumă totală de 4,7 milioane lei. Totuși, județul Sibiu a fost depășit de Harghita, care a înregistrat în primele 6 luni ale anului o situație mai bună: 2.380 persoane au primit ajutor social, iar suma totală a fost de 5,4 milioane lei. Pe primul loc se află tot Covasna, cu mai puțin de 2.000 de beneficiari: 1.901 persoane și suma de 3,5 milioane lei. Județele Alba și Brașov se situează aproape la egalitate, cu 3.848, respectiv 3.705 beneficiari de ajutor social, iar în Mureș continuă să fie cei mai mulți - 5.997, pentru care statul a achitat suma totală de 11,2 milioane lei.
La nivel național, cele mai multe ajutoare sociale au fost plătite anul trecut în județele Dolj (12.838 de dosare, pentru care s-au achitat 43,4 milioane lei), Bacău (10.298 de dosare cu 34,7 milioane lei), Buzău (10.250 persoane și 32,2 milioane lei suma achitată), Galați (9.221 beneficiari și 29,3 milioane lei) și Teleorman (9.225) persoane pentru care s-au achitat ajutoare de 28,3 milioane lei).

Datele au fost transmise Parlamentului de fostul ministru al Muncii și Justiției Sociale. Conform acestora, cei mai puțini benficairi de ajutoare sociale sunt în București (263), județul Ilfov (1.325) și județul Timiș (1.632).
.
Abonează-te la canalul de WhatsApp al Turnul Sfatului pentru a afla în timp real știrile relevante de la Sibiu: accesează linkul de aici și apasă opțiunea Follow (Urmăriți).
Dacă ți-a plăcut, distribuie articolul și prietenilor tăi
Vizualizari: 1550


Ultimele comentarii
Acum 2 ore
Sile Corcodel
Acum 2 ore
Newman
Acum 2 ore
Newman
Acum 2 ore
Sibian
Acum 2 ore
Un sibian vero