Numărul de curse de autobuz dintre Sibiu și Rășinari va scădea de la 28 la 20. Primăria Rășinari a solicitat Consiliului Județean reducerea numărului de curse a traseului 083 Rășinari – Sibiu. Solicitarea urmează să fie aprobată în ședința Consiliului Județean care va avea loc joi, 25 august.
Prin adresa înregistrată la Consiliul Județean, operatorul de transport rutier Societatea Gospodărire Comunală Locală Rășinari S.R.L. a solicitat modificarea graficului de transport pentru traseul 083 Rășinari – Sibiu, traseu atribuit în baza contractului de delegare a gestiunii serviciului de transport public județean de persoane prin curse regulate.
Printre motivele reducerii curselor se numără creșterea prețurilor și scăderea numărului de călători.
„Urmare a contextului sanitar, economic, și politic actual, care a determinat o creștere a tuturor prețurilor și o scăderea numărului de călători determinat de introducerea unor curse zilnice în regim de conveție care transportă angajații mai multor societăți din Sibiu (Takata, Scandia, Compa, Marquardt, Thimm, Bilstein, Continental), pentru optimizarea costurilor, societatea Gospodărie Locală Rășinari este nevoită să solicite modificarea programului de transport prin reducerea numărului de curse de la 38 la 20 pe traseul 083 Rășinari – Sibiu, prin renunțarea la acele curse care nu erau rentabile”, se arată în adresa primăriei.
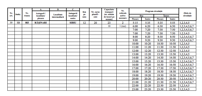
Astfel, programul de transport va fi actualizat după cum urmează:

Abonează-te la canalul de WhatsApp al Turnul Sfatului pentru a afla în timp real știrile relevante de la Sibiu: accesează linkul de aici și apasă opțiunea Follow (Urmăriți).
Dacă ți-a plăcut, distribuie articolul și prietenilor tăi
Vizualizari: 4330


Ultimele comentarii
Acum 9 ore
Alzara 1918
Acum 10 ore
Gheorghe Ion
Acum 10 ore
Forest Gump
Acum 12 ore
Che
Acum 12 ore
Kukuruku